— 新闻中心
NEWS
抽样调查法是一种建立在概率论基础上的调查方法。应用这种方法应以评估对象为抽样总体,按照随机、系统、分层等抽样调查方式的要求,在抽样总体中布设一定数量的样地作为样本,进行实地测定后估测评估对象的森林资源资产数量与状况。抽样技术方法如下:
简单随机抽样调查法
简单随机抽样是从抽样总体中,随机等概率地抽取足够数量的总体单元组成样本,用样本的测定值来估计总体的一种调查方法。
1、确定抽样总体
总体范围的确定与核查目的有关。当核查只是要了解整个评估对象的林木资产总量,则可将整个评估对象作为一个抽样总体。如果要了解其中的一部分或某种类型的资产量,就需要以这一部分区域或类型作为抽样总体。
2、确定样地的形状和大小
在森林资源调查中宜使用方形样地,但在地形平坦,通视良好的情况下也可以采用圆形样地。在抽样总体中,样地面积大小的确定,要考虑调查方法、林分年龄、林分内部的一致性、工作效率等因素,样地面积宜采用0.067hm²。
3、确定样本单元数
样地的形状和大小确定之后,计算所需样本单元数:
式中:
|
n |
样本单元(样地)数 |
|
t |
可靠性指标,当可靠性要求达到95%时,t取值为1.96 |
|
c |
总体单元(样地、样本单元)蓄积量的变动系数 |
|
E |
要求达到的估计值相对误差 |
为确保调查精度,实际工作中宜在上述计算的样本单元数上增加10%~20%的安全系数。
4、样地布点
用一张较密的网点板覆盖在平面图或林业基本图上,用随机数字表抽取样本单元的纵横座标,然后落实到图面上,这些点即为样地位置。
5、样地设置
在图面上量算距样地最近的明显地物点与样地的方位角和距离,然后引点定位。在现地设置样地进行样地调查。
当林地坡度大于5°时,应将测量的斜距按实际坡度改算为水平距离。样地周界测量的闭合差不应超过1/200。
6、特征数计算
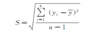
计算总体平均数估计值:
式中:
|
yi |
样本单元观察值(野外测定的样地蓄积量) |
|
n |
样本单元数(野外测定的样地个数) |
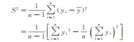
方差估计值:
标准差估计值:
平均数估计值的方差(即样本平均数方差):
标准误差:
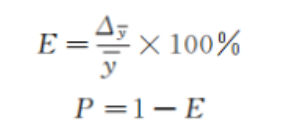
估计误差:
估计区间(置信区间):
相对误差:
估计精度:
系统(机械)抽样调查法
除样本抽取的方式外,系统抽样与简单随机抽样的做法相同。系统抽样样地的抽取方法是在随机起点之后,从含有N个单元的总体中,按照一定的间隔抽取n个样本单元组成样本。其优点是,样本单元能比较均匀地分布在总体范围里,在无偏差的条件下,可以有比简单随机抽样更好的效果。在系统抽样中,采用下式计算系统配置的样地间距:
式中:
|
d |
样地间距,单位为米(m) |
|
A |
总体面积,单位为公顷(hm²) |
|
n |
样本单元个数 |
采用系统抽样时,应避免森林资源的周期性分布与系统抽样样地布设周期一致,从而出现有偏估计。如果发现出现了这种周期性耦合,可以将用作布点的网点板旋转45°重新布点。
分层抽样法
分层抽样法是指将总体按照一个既定的分层方案分成若干层,在层内随机或系统抽取样本单元组成样本。这种按由层到总体的顺序估计总体的抽样方法叫做分层抽样。
分层抽样总体平均数估计值的方差计算公式为:
式中:
|
L |
层数 |
|
Wh |
第h层的面积权重 |
|
|
第h层层平均数估计值的方差 |
1、确定分层方案
资源核查的目的决定分层方案的确定,例如为了查清森林资源的蓄积量,那么就应以影响森林蓄积的树种、林龄和郁闭度为分层因子,其目的是尽量缩小层内方差,扩大层间方差。
分层方案
|
分层因子 |
级距 |
|
优势树种 |
落叶林、白桦、柞树 |
|
林 龄 组 |
幼龄林、中龄林、近成过熟林 |
|
郁 闭 度 |
≤0.3、0.4~0.6、≥0.7 |
2、划分层化小班
根据确定的分层因子及级距,在总体中划分层化小班。在森林资源核查中,宜利用林相图完成分层工作。
依据森林资源资产清单所列各小班属性,将所有小班进行分层。
3、计算各层面积权重
分层求算出各层的权重:
式中:
|
Wh |
第h层的面积权重 |
|
Ah |
属于第h层的全部小班的面积之和 |
|
A |
核查总体的总面积 |
4、样本单元数的确定和分配
各层样本单元数的分配可采用比例分配法、最优分配法和经济分配法。在等比例重复抽样前提下,样本单元数n计算公式为:
式中:
|
t |
可靠性指标 |
|
|
样本方差 |
|
E |
相对误差 |
|
|
上一总体蓄积量平均数 |
为简便,也可以使用近似公式计算:
式中:
|
Ch |
层变动系数,实践中,常按面积比例分配各层的样地数量 |
5、样地布点
用一张较密的网点板覆盖在平面图或林业基本图上,用随机数字表抽取样本单元的纵横座标,然后落实到图面上,这些点即为样地位置。
6、样地的现地设置
在图面上量算距样地最近的明显地物点与样地的方位角和距离,然后引点定位。在现地设置样地进行样地调查。
当林地坡度大于5°时,应将测量的斜距按实际坡度改算为水平距离。样地周界测量的闭合差不应超过1/200。
现地设置的每一个调查样地均不能跨越既定的层。
7、特征数计算
首先计算各层的层平均值(层平均数估计值):
式中:
|
Nh |
第h层的样本单元数 |
|
yhi |
第h层的第i个样本单元的观测值 |
方差:
标准误:
其次计算总体平均数的分层抽样估计值:
式中:
|
Wh |
第h层的权重 |
方差估计:
其他特征数:
t值按自由度为n—l在小样本t分布表中查得。
置信区间:
最新新闻
销售咨询:18881-458-458
商务合作:13228-199-166
售后电话:028-85588318
集团总部:成都市青羊区清江中路20号18楼18号






